中国稻米 ›› 2025, Vol. 31 ›› Issue (6): 46-54.DOI: 10.3969/j.issn.1006-8082.2025.06.008

• 专论与研究 • 上一篇    下一篇

湖北省双季稻品种干物质积累及氮磷钾养分吸收规律

刘晓鸽1, 汪洋1, 戴志刚2, 汪本福3,*(), 李小坤1,4,*()   

  1. 1华中农业大学 资源与环境学院/微量元素研究中心/农业农村部长江中下游耕地保育重点实验室,武汉 430070
    2湖北省耕地质量与肥料工作总站,武汉 430070
    3湖北省农业科学院 粮食作物研究所,武汉 430064
    4华中农业大学 双水双绿研究院,武汉 430070
  • 收稿日期:2025-06-02 出版日期:2025-11-20 发布日期:2025-11-07
  • 通讯作者: *lixiaokun@mail.hzau.edu.cn
    583092275@qq.com
  • 基金资助:
    湖北省现代农业水稻产业技术体系项目(2023HBSTX4-01);湖北省重点研发计划项目(2022BBA0048);湖北洪山实验室重大项目(2121hsz002)

Patterns of Dry Matter Accumulation and Nitrogen, Phosphorus, and Potassium Nutrient Absorption in Double-cropping Rice Varieties in Hubei Province

LIU Xiaoge1, WANG Yang1, DAI Zhigang2, WANG Benfu3,*(), LI Xiaokun1,4,*()   

  1. 1College of Resources and Environment/Trace Element Research Center, Huazhong Agricultural University/Key Laboratory of Arable Land Conservation in the Middle and Lower Reaches of Yangtze River, Ministry of Agriculture and Rural Affairs, Wuhan 430070, China
    2Hubei Provincial General Station of Arable Land Quality and Fertilizer, Wuhan 430070, China
    3Food Crops Research Institute, Hubei Academy of Agricultural Sciences, Wuhan 430064, China
    4Shuangshui and Shuanglü Research Institute, Huazhong Agricultural University, Wuhan 430070, China
  • Received:2025-06-02 Published:2025-11-20 Online:2025-11-07

摘要:

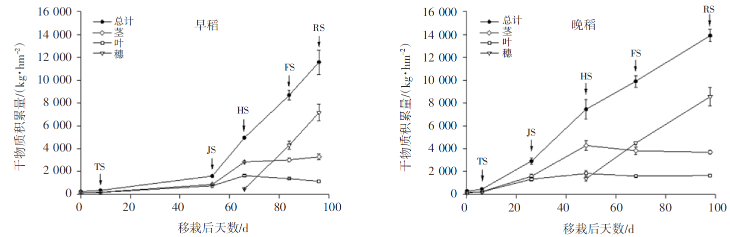
以5个早稻品种(两优302、两优287、鄂早18、鄂早17和两优6号)和5个晚稻品种(T优180、黄华占、丰源优299、天优华占和两优33)为供试材料,于2022年在湖北省武穴市大金镇周干村进行田间试验。通过测定各品种关键生育时期的干物质量及氮(N)、磷(P)、钾(K)养分含量,运用Logistic方程y=K/(1+ae-bt)拟合水稻干物质积累过程,分析早、晚稻品种的干物质积累及N、P、K养分吸收规律,拟为湖北省双季稻的科学合理施肥提供理论依据。 结果发现,在干物质积累方面,早、晚稻的总干物质积累量均呈现出“慢-快-慢”的增长趋势,快速积累期分别在移栽后59~95 d(持续36 d)和28~73 d(持续45 d);茎和叶干物质积累量的变化趋势均表现为先增加后下降,而穗干物质积累量则呈持续上升态势。在养分吸收方面,早、晚稻的N素总积累量均呈现出持续增加的趋势;在快速积累期,早稻积累的N素占最大积累量的52.7%,晚稻这一比例为76.9%;P、K素的总积累量变化则表现为先增加后降低的趋势。收获时,早稻穗中的N、P含量分别占总量的63.8%和73.9%,K在茎中的含量占总量的72.8%;晚稻穗中的N、P含量分别占总量的69.7%和76.2%,K在茎中的含量占总量的68.6%。测产结果显示,晚稻平均产量为7 924.6 kg/hm2,较早稻(6 381.5 kg/hm2)增产24.2%。每生产100 kg稻谷,早稻需要吸收N 1.9~2.0 kg、P2O5 0.9~1.2 kg和K2O 2.5~2.9 kg,晚稻需要吸收N 1.5~1.8 kg、P2O5 0.7~1.0 kg、K2O 1.6~2.1 kg。综上所述,早、晚稻在不同生育时期的干物质积累以及对N、P、K养分的需求存在显著差异,实际施肥时,应调整早、晚稻肥料中N、P、K的配比,制定针对性施肥策略,提高肥料利用率,实现双季稻产量与经济效益的最大化。

关键词: 双季稻, 干物质, 养分吸收, 产量

Abstract:

Using five early-season rice varieties (Liangyou 302, Liangyou 287, Ezao 18, Ezao 17, and Liangyou 6) and five late-season rice varieties (Tyou 180, Huanghuazhan, Fengyuanyou 299, Tianyouhuazhan, and Liangyou 33) as test materials, field experiments were conducted in Zhougan Village, Dajin Town, Wuxue City, Hubei Province, in 2022. By measuring the dry matter mass and the content of nitrogen (N), phosphorus (P), and potassium (K) nutrients at key growth stages of each variety, and employing the Logistic equation y=K/(1+ae-bt) to model the dry matter accumulation process in rice, we analyzed the patterns of dry matter accumulation and N, P, and K nutrient uptake in early-and late-season rice varieties, aiming to provide a theoretical basis for scientific and rational fertilization of double-cropping rice in Hubei Province. The results revealed that, in terms of dry matter accumulation, both early-and late-season rice exhibited a “slow-fast-slow” growth trend in total dry matter accumulation, with the rapid accumulation phases occurring from 59 to 95 days (lasting 36 days) and from 28 to 73 days (lasting 45 days) after transplanting, respectively. The dry matter accumulation in stems and leaves initially increased and then decreased, while that in panicles showed a continuous upward trend. Regarding nutrient uptake, the total N accumulation in both early- and late-season rice showed a continuous increase; during the rapid accumulation phase, early-season rice accumulated 52.7% of its maximum N accumulation, compared to 76.9% for late-season rice. The total accumulation of P and K initially increased and then decreased. At harvest, the N and P content in the panicles of early-season rice accounted for 63.8% and 73.9% of the total, respectively, while K content in the stems accounted for 72.8% of the total. For late-season rice, the N and P content in the panicles accounted for 69.7% and 76.2% of the total, respectively, and K content in the stems accounted for 68.6% of the total. The yield measurement results showed that the average yield of late-season rice was 7,924.6 kg/hm2, representing a 24.2% increase compared to early-season rice (6,381.5 kg/hm2). To produce 100 kg of rice grain, early-season rice required the uptake of 1.9-2.0 kg of N, 0.9-1.2 kg of P2O5, and 2.5-2.9 kg of K2O, while late-season rice required 1.5-1.8 kg of N, 0.7-1.0 kg of P2O5, and 1.6-2.1 kg of K2O. In conclusion, there are significant differences in dry matter accumulation and N, P, and K nutrient requirements between early- and late-season rice at different growth stages. In practical fertilization, the ratios of N, P, and K in fertilizers for early- and late-season rice should be adjusted to formulate targeted fertilization strategies, improve fertilizer utilization efficiency, and maximize the yield and economic benefits of double-cropping rice.

Key words: double-cropping rice, dry matter, nutrient uptake, yield

中图分类号: